Skip to contents

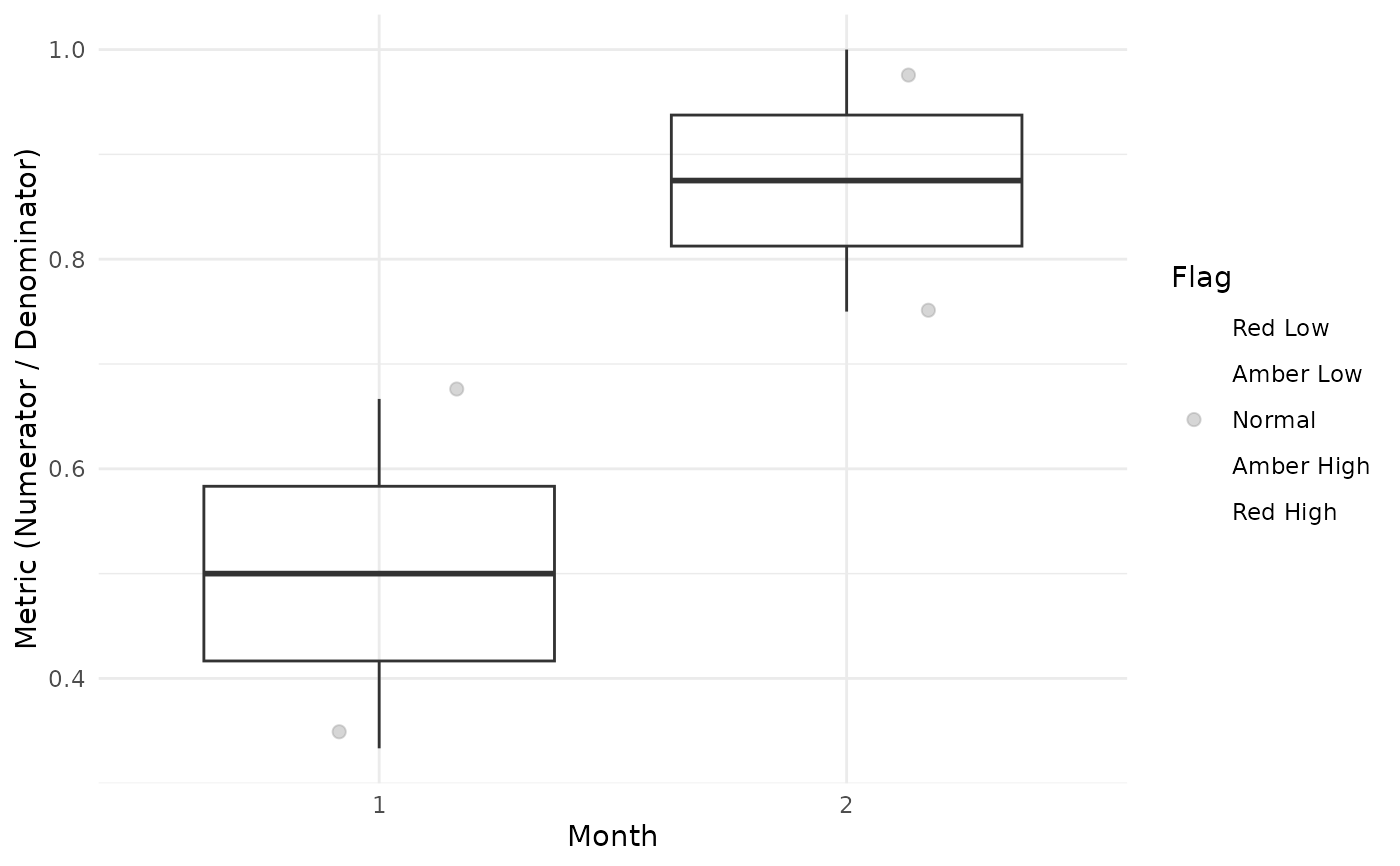
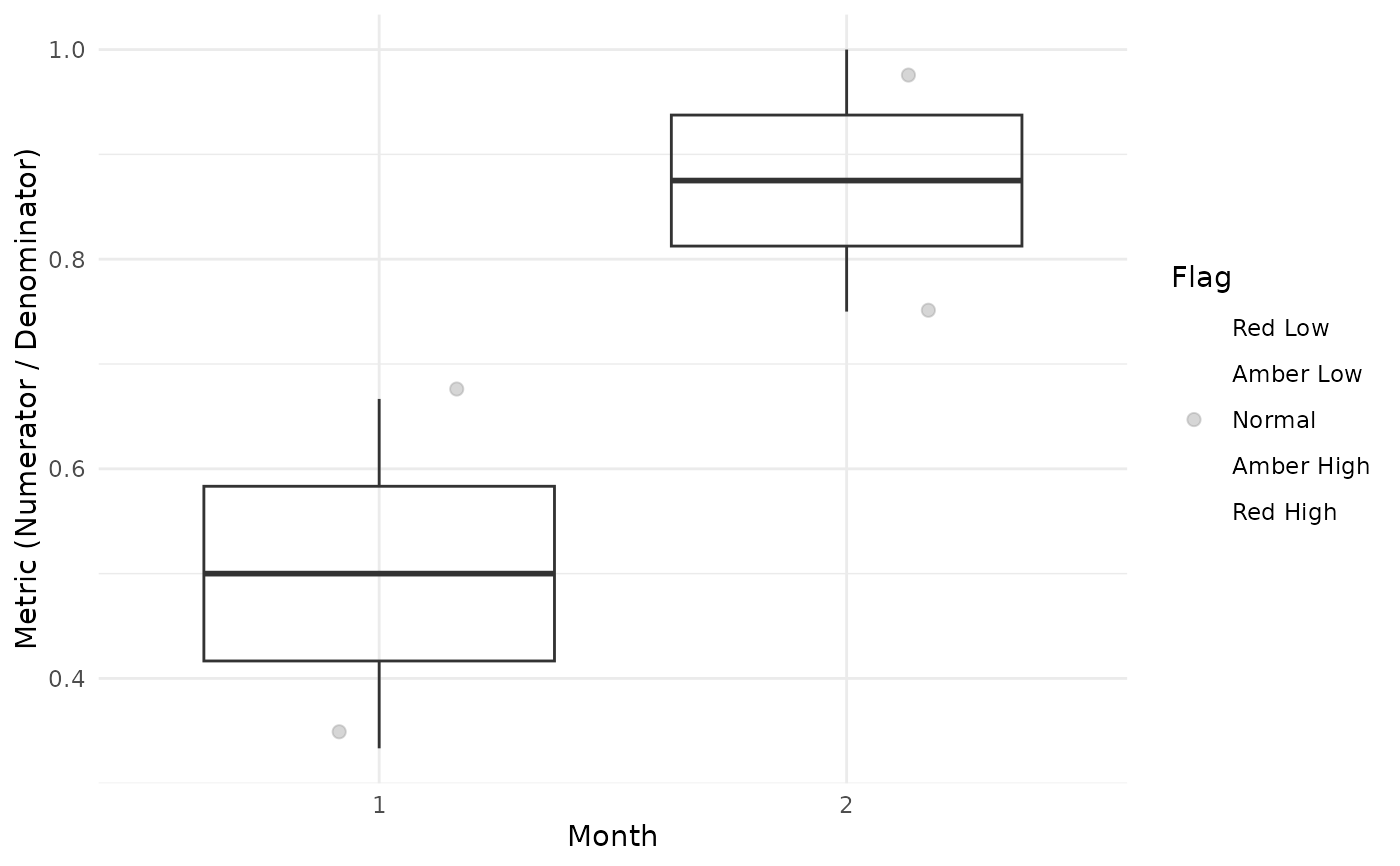
Creates a boxplot showing the distribution of Metric values for each sequential month, with individual points colored by Flag value to highlight outliers. Points are rendered behind the boxplots with reduced opacity.

Usage

VisualizeBoxplot(dfFlagged, nMonths = NULL)

Arguments

dfFlagged

A data frame output from Flag() containing columns: GroupID, NMonth, Metric, and Flag.

nMonths

Optional numeric vector of NMonth values to include in the plot. If NULL (default), all months are shown. Use this to filter to specific months, e.g., nMonths = 1:10 for the first 10 months.

Value

A ggplot2 object showing boxplots of Metric by NMonth with individual points colored by Flag value (diverging scale: red=low outlier, gray=normal, blue=high outlier).

Examples

library(dplyr)
dfSubjects <- data.frame(
  SubjectID = c(1, 2, 3, 4),
  SiteID = c("A", "A", "B", "B")
)
dfNumerator <- data.frame(
  SubjectID = c(1, 1, 2, 3, 4, 4, 4),
  EventDate = as.Date(c(
    "2022-01-01", "2022-01-15", "2022-02-01",
    "2022-01-10", "2022-01-05", "2022-01-20", "2022-02-01"
  ))
)
dfDenominator <- data.frame(
  SubjectID = c(1, 1, 2, 2, 3, 3, 4, 4),
  VisitDate = as.Date(c(
    "2022-01-01", "2022-01-20", "2022-01-01", "2022-02-01",
    "2022-01-01", "2022-01-15", "2022-01-01", "2022-02-01"
  ))
)

dfFlagged <- Timeline(
  dfSubjects = dfSubjects,
  dfNumerator = dfNumerator,
  dfDenominator = dfDenominator,
  strGroupCol = "SiteID",
  strSubjectCol = "SubjectID",
  strNumeratorDateCol = "EventDate",
  strDenominatorDateCol = "VisitDate"
) %>%
  TimeZScore() %>%
  Flag()
#>  Sorted dfFlagged using custom Flag order: 2.Sorted dfFlagged using custom Flag order: -2.Sorted dfFlagged using custom Flag order: 1.Sorted dfFlagged using custom Flag order: -1.Sorted dfFlagged using custom Flag order: 0.

# Show all months
VisualizeBoxplot(dfFlagged)


# Show only first 10 months
VisualizeBoxplot(dfFlagged, nMonths = 1:10)